最新发布的《矿业权出让收益评估应用指南(2023)》与《矿业权出让收益评估应用指南(试行)》(2017)对比
《矿业权出让收益评估应用指南(2023)》 | 《矿业权出让收益评估应用指南(试行)》(2017) |
本指南所指矿业权出让收益评估,是矿业权评估机构及其矿业权评估专业人员根据委托,按照有关法律、法规、规章、规范性文件和矿业权评估准则,遵循评估原则,为委托人征收矿业权出让收益提供评估服务,并出具矿业权出让收益评估报告的专业服务行为。 | 本应用指南适用于涉及矿业权出让收益的矿业权评估,包括以协议方式,招标、拍卖、挂牌等竞争方式或以其他方式出让矿业权所涉及矿业权出让收益的评估,以及相关规定中涉及矿业权出让收益的评估。 |
| 1定义 1.1矿业权出让收益。 矿业权出让收益是国家基于矿产资源所有权,将探矿权、采矿权出让给探矿权人、采矿权人而依法收取的国有资源有偿使用收入。矿业权出让收益包括探矿权出让收益和采矿权出让收益。 1.2矿业权出让收益评估。 矿业权出让收益评估是指矿业权评估机构及其矿业权评估专业人员根据委托,按照有关法律、法规、规章、规范性文件和矿业权评估准则,遵循评估原则,对约定评估矿业权在一定时点的矿业权出让收益进行评定、估算,并出具矿业权出让收益评估报告的专业服务行为。 |
1基本要求 1.1开展矿业权出让收益评估,应当遵守有关法律、法规、规章、规范性文件和矿业权评估准则。 1.2矿业权出让收益评估业务,应当由委托人按照公开、公平、公正的原则依法选择矿业权评估机构承担。矿业权评估机构应当依据其与委托人签订的评估委托合同约定的评估事项、相关具体要求以及矿业权出让收益相关规定确定评估基本事项与相关评估参数。 1.3矿业权出让收益评估业务应当指定至少两名矿业权价值评估专业矿业权评估师承办;矿业权出让收益评估报告应当由承办该项业务的矿业权价值评估专业矿业权评估师签字盖章并加盖矿业权评估机构印章。 1.4矿业权出让收益评估报告,应当披露评估结论仅供自然资源主管部门确定矿业权出让收益金额时参考使用,与自然资源主管部门实际确定的矿业权出让收益金额不必然相等。 1.5本指南规定的事项,自然资源主管部门有特殊规定的,从其规定。 | 2基本要求 2.1开展矿业权出让收益评估业务,应遵守有关法律、法规、规章、规范性文件和矿业权评估准则。 2.2矿业权出让收益评估业务应当由委托人依法选择矿业权评估机构承担。 2.3矿业权评估机构开展矿业权出让收益评估业务,应当指定至少两名矿业权评估师承办,矿业权出让收益评估报告应当由至少两名承办该项业务的矿业权评估师签章并加盖矿业权评估机构印章。 2.4本应用指南规定的事项,矿产资源主管部门有特殊规定的,从其规定。 |
2委托人 委托人应由自然资源主管部门确定。 | 3委托人 出让矿业权涉及的矿业权出让收益评估,委托人原则上为矿产资源主管部门。其他情形涉及的矿业权出让收益评估,应依据业务实际情况依法确定委托人。 |
3评估基准日 3.1评估基准日应当由委托人依据相关规定和实际工作情况确定。 3.2评估基准日一般为月末,表述方式为××××年××月××日。 | 4评估基准日 4.1评估基准日应由委托人依据相关规定和实际工作情况确定。 4.2评估基准日一般为月末,表述方式为××××年××月××日。 |
| 5评估目的 5.1以招标、拍卖、挂牌等竞争方式出让矿业权的,出让收益评估目的是为确定矿业权出让收益底价提供参考意见。 5.2以协议方式出让矿业权的,出让收益评估目的是为确定矿业权出让收益提供参考意见。 5.3其他情形的,出让收益评估目的依据业务实际情况合理确定。 |
4评估对象与范围 4.1评估对象为探矿权、采矿权以及与矿产资源所有权相关的权益等。 4.2矿业权评估范围一般包括下列要素: 4.2.1探矿权:勘查项目名称、地质勘查阶段、勘查矿种、勘查(区)范 围,矿产资源储量估算范围、类型及数量等。 4.2.2采矿权:矿山名称、开采矿种、开采方式、生产规模、矿区范围(含开采深度)、矿产资源储量估算范围、资源储量类型及数量等。 | 6评估对象与范围 6.1评估对象为探矿权、采矿权,包含拟出让探矿权、采矿权。 6.2矿业权评估范围一般包括下列要素: 6.2.1探矿权:勘查项目名称、地质勘查阶段、勘查矿种、勘查(区)范 围、矿产资源储量估算范围、资源储量类型及数量等。 6.2.2采矿权:矿山名称、开采矿种、开采方式、生产规模、矿区范围、矿产资源储量估算范围、资源储量类型及数量等。 |
5评估依据 评估依据包括法律法规、经济行为、矿业权权属、评估参数选取依据等。 5.1法律法规依据。包括相关法律法规,国家、行业相关规程规范等技术标准,矿业权评估准则等。 5.2经济行为依据。包括评估委托合同书(评估委托书)等。 5.3矿业权权属依据。包括矿产资源勘查许可证、采矿许可证,划定矿区范围批复,自然资源主管部门出具的有关文件等。 5.4评估参数选取依据。包括税费政策文件、相关专业报告、矿业权有偿处置相关资料及收集的市场公开信息、交易信息等其他有关资料。相关专业报告通常包括后续地质勘查设计、地质勘查文件、矿产资源储量报告、矿山设计文件、企业财务会计报告、审计报告、资产评估报告、土地估价报告等。
| 7评估依据 评估依据包括法律法规依据、经济行为依据、矿业权权属依据、评估参数选取依据等。 7.1法律法规依据。包括相关法律法规,国家、行业相关规程规范等技术标准,矿业权评估准则等。 7.2经济行为依据。包括评估委托合同书(评估委托书)等。 7.3矿业权权属依据。包括矿产资源勘查许可证、采矿许可证,划定矿区范围批复,矿产资源主管部门出具的有关文件等。 7.4评估参数选取依据。包括税费政策文件、相关专业报告、矿业权出让收益评估报告、矿业权有偿处置相关资料及收集的市场公开信息、交易信息等其他有关资料。相关专业报告通常包括后续地质勘查设计、地质勘查文件、矿产资源储量报告、矿山设计文件、企业财务会计报告、审计报告、资产评估报告、土地估价报告等。 |
6评估实施过程 6.1应当按照矿业权评估程序规范的基本要求,结合选取的评估方法,实施具体评估程序。矿业权评估基本程序包括:明确评估业务基本事项、签订评估委托合同书、编制评估计划、尽职调查、收集评估资料、评定估算、编制和出具评估报告、工作底稿归档。 6.2评估委托合同书中应明确委托人、评估对象与范围、评估目的、评估基准日、评估年限、评估费用等评估业务事项。 6.3开展尽职调查时,应对评估对象进行现场调查。自然资源主管部门有特殊要求或者因为不可抗力因素无法开展的除外,但应在报告中予以披露。 6.4出具评估报告前,应当对评估报告进行内部审核。 6.5出具评估报告时,应当取得中国矿业权评估师协会评估报告统一编码,并按有关规定提交委托人。 | 8评估实施过程 8.1按照《矿业权评估程序规范》的基本要求,结合选取的评估方法,确定并实施具体评估程序。评估程序一般包括:明确评估业务基本事项、签订评估委托合同书、编制评估计划、尽职调查、收集评估资料、评定估算、编制和出具评估报告、工作底稿归档。 8.2评估委托合同书中应明确委托人、评估对象与范围、评估目的、评估基准日等评估业务基本事项。 8.3开展尽职调查时,应根据评估项目具体情况,对评估对象进行现场调查。 8.4收集评估资料时,应对委托人提供的资料进行核查和验证。 8.5出具评估报告前,应对评估报告进行内部审核。 8.6出具评估报告时,应向中国矿业权评估师协会取得评估报告统一编码,并按有关规定提交委托人。
|
7评估方法 7.1评估方法。下列评估方法可以应用于矿业权出让收益评估: (1)收益途径评估方法:折现现金流量法、收入权益法; (2)成本途径评估方法:地质要素评序法、勘查成本效用法; (3)市场途径评估方法:可比销售法、单位面积探矿权价值评判法、资源品级探矿权价值估算法。 7.2评估方法的选择。 应当根据实际勘查程度或开发阶段、资源储量估算情况、矿产资源储量规模和矿山生产规模,结合各评估方法的使用前提与适用范围和矿业权出让收益征收管理的相关规定,选择恰当的评估途径及其对应的评估方法。 7.2.1普查探矿权。 (1)未估算资源量的普查探矿权,原则上应选取勘查成本效用法。但属于勘查空白地或者投入少量地质工作的情形,应选取单位面积探矿权价值评判法。 (2)估算资源量的普查探矿权,原则上应选取地质要素评序法。但属于对于估算资源量较多的情形,应选取资源品级探矿权价值估算法。 (3)对于煤、磷、铁、铝土矿等赋存稳定的沉积型矿床的普查探矿权,评估计算的服务年限不小于10年的,原则上应选取折现现金流量法;不具备折现现金流量法条件时,应选取收入权益法。 7.2.2详查勘探探矿权和采矿权。 (1)评估计算的服务年限不小于10 年的,应选取折现现金流量法; (2)不具备折现现金流量法条件的,应选取收入权益法。 7.2.3可比因素可以确定,相关指标可以量化时,应同时选取可比销售法。
| 9评估方法 9.1矿业权出让收益评估方法包括基准价因素调整法、交易案例比较调整法、单位面积倍数法、资源价值比例法、收入权益法、折现现金流量法和勘查成本效用法。各评估方法适用范围详见表 9-1-1。 9.2根据《矿业权评估方法规范》中各种评估方法的适用范围和前提条件,针对评估对象与范围的特点以及评估资料收集情况等相关条件,恰当选择评估方法,形成评估结论。对于具备评估资料条件且适合采用不同评估方法进行评估的,应当采用两种以上评估方法进行评估,通过比较分析合理形成评估结论。因方法的适用性、操作限制等无法采用两种以上评估方法进行评估的,可以采用一种方法进行评估,并在评估报告中披露只能采用一种方法的理由。 9.3应按照《矿业权评估方法规范》提出的评估方法及其模型使用评估方法。 9.4基准价因素调整法:获取相应的矿业权市场基准价,在充分对比分析评估对象与矿业权市场基准价可比因素差异的基础上,确定可比因素调整系数。 9.5交易案例比较调整法:按照《矿业权评估方法规范》要求,选择满足该方法使用条件的、具有相同或相似性的交易案例;应确定反映评估对象特点的可比因素,且各可比因素之间具有相对独立性;参照《矿业权评估参数确定指导意见》有关要求,进行可比因素的确定并计算可比因素调整系数。 9.6单位面积倍数法:单位面积探矿权价值,可以利用矿产资源主管部门发布的、以及其他途径取得的距评估基准日最近的低勘查程度单位面积探矿权价值相关资料确定。 9.7资源价值比例法:根据相同矿种,综合考虑勘查区地质矿产特征、资源品质、开发利用条件、基础设施条件、矿业市场条件等因素,选择交易案例,合理分析确定探矿权价值占资源价值的比例;或利用相关统计数据等资料,确定探矿权价值占资源价值的比例。 9.8收入权益法:限于不适用折现现金流量法且矿产资源储量规模为小型的详查和勘探探矿权,及不适用折现现金流量法的下列采矿权:矿产资源储量规模和矿山生产规模均为小型的采矿权;评估计算的服务年限小于 10 年且生产规模为小型的采矿权;评估计算的服务年限小于5年且生产规模为大中型的采矿权。 9.9折现现金流量法:严格按照折现现金流量法的应用前提条件和适用范围确定评估方法。相关评估参数应严格依据本应用指南和《矿业权评估参数确定指导意见》等矿业权评估准则的要求进行选取。 9.10勘查成本效用法:涉及各类勘查工作量的取价(费)标准,采用评估基准日适用的、矿产资源主管部门及其相关单位或其他相关管理部门颁布实施的国土资源调查预算标准(或类似价格和费用标准);对暂缺的工作手段预算标准或不适用预算标准,可以参考相关行业预算标准(或类似价格和费用标准)。 |
8评估参数 8.1应当依据现行有关法律、行政法规、规范性文件,技术规范以及相应的矿业权评估准则等确定。 8.2确定评估参数应当关注: (1)对于税费类评估参数,应当重点关注相关税费规定的时效性,计算标准以及计算方法,合理计算相关评估参数。 (2)对于技术规范,应当重点关注技术规范的时效性,完整性,合理确定相关评估参数。 (3)利用相关专业报告确定评估参数,应当关注相关专业报告是否符合相关技术规范要求,应重点关注时效性、合理性、可靠性、完整性,合理确定相关评估参数。 (4)利用市场信息资料确定评估参数,应当重点关注资料来源渠道的真实性、数据的时效性、全面性与可靠性。 (5)利用企业出具的相关说明确定评估参数,应当重点关注说明内容与评估目的的合理性、适用性,并在评估报告完整披露。 8.3主要评估参数 8.3.1评估计算的服务年限。原则上应由委托人按矿业权出让收益征收管理有关规定确定。 8.3.2资源量。 (1)评估依据的资源量。 应当根据评估计算的服务年限和生产规模等参数,以地质勘查文件或矿产资源储量报告为基础(需要进行评审或评审备案的,应当包含评审意见、备案文件)确定。当地质勘查文件或矿产资源储量报告按《固体矿产资源/储量分类》(GB/T17766-1999),委托人应当按自然资源部有关要求进行数据转换。当地质勘查文件或矿产资源储量报告按《固体矿产资源储量分类》(GB/T17766-2020)编制时,应当关注资源量和储量之间的关系,相关信息应予以披露。 (2)工业指标。应当选取一般工业指标或经论证批复后的工业指标。 (3)共伴生组分。对矿床中共生、伴生有用组分矿产,凡其综合开发利用属于技术上可行、经济上合理、环境上允许的,应当与主矿种一起纳入评估范围。 8.3.3矿山服务年限。以资源量为基础,根据矿山设计文件或设计规范的规定确定。 8.3.4产品销售价格。 (1)应当根据评估采用的产品方案,选择能够代表当地市场价格水平的信息资料,作为确定基础。 (2)一般情况下,可以评估基准日前3个年度的价格平均值为基础确定评估用的产品价格。对产品价格波动较大、评估计算的服务年限较长的大中型矿山,可以评估基准日前5个年度内价格平均值为基础确定评估用的产品价格。对评估计算的服务年限短的小型矿山,可以采用评估基准日当年价格的平均值为基础确定评估用的产品价格。 (3)评估报告中应当对价格确定的依据和过程进行明确披露。 8.3.5相关税费。增值税,按一般纳税人适用的增值税税率计算。企业所 得税,以利润总额为基数,按企业所得税税率计算,不考虑亏损弥补及企业所得税减免、抵扣等税收优惠。 8.3.6折现率。根据原国土资源部公告2006年第18号,地质勘查程度为勘探以上的探矿权及(申请)采矿权出让收益评估折现率取8%;地质勘查程度为详查及以下的探矿权出让收益评估折现率取9%。 8.3.7地质要素评序法、勘查成本效用法涉及各类勘查工作量的取价(费)标准,采用评估基准日适用的、自然资源主管部门及其相关单位或其他相关管理部门颁布实施的地质调查项目预算标准(或类似价格和费用标准);对暂缺的工作手段预算标准或不适用预算标准,可以参考相关行业预算标准(或类似价格和费用标准)。 | 10评估参数 10.1参照《矿业权评估参数确定指导意见》以及其他指导意见,确定与评估方法所必需的评估参数。 10.2可采储量应根据矿山设计文件或设计规范的规定进行确定。 10.3评估利用资源储量。矿业权范围内的资源储量均为评估利用资源储量,包括预测的资源量(334)?。评估利用资源储量应以矿产资源储量报告为依据,需要进行评审或评审备案的,应将评审意见、备案文件一同作为依据。 10.4矿产资源储量报告中资源储量估算基准日与矿业权出让收益评估基准日不同时,应根据期间动用资源储量情况,对评估利用资源储量进行调整。 10.5依国家规定,对于已设无偿占有属于国家出资探明矿产地的探矿权和无偿取得的采矿权应缴纳价款但尚未缴纳的,按协议出让方式征收矿业权出让收益的,采矿权出让收益评估,评估利用资源储量估算的基准日以2006年9月30日为准,各矿产资源主管部门有规定的,从其规定。 10.6对矿床中共生、伴生有用组分矿产,凡其综合开发利用属于技术上可行、经济上合理、环境上允许的,应与主矿种一起纳入评估范围。 10.7生产能力、产品方案、采选(冶)或加工技术指标、固定资产投资、成本费用:按照探矿权、拟建或在建矿山采矿权、生产矿山采矿权、改扩建矿山采矿权资料来源渠道以及资料的可利用性等的不同,参照《矿业权评估参数确定指导意见》分别处理;应注意相关评估参数选取依据的选择顺序及其协调性、一致性。 10.8矿山服务年限:参照《矿业权评估参数确定指导意见》,按照可采储量和生产能力估算。 10.9产品销售价格:参照《矿业权评估参数确定指导意见》,采用一定时段的历史价格平均值确定。 10.10土地使用权投资或土地费用:按照矿山土地使用方式的不同,分别处理。 10.11固定资产更新投资:房屋建筑物和设备采用不变价原则考虑其更新投资,即设备、房屋建筑物在其计提完折旧后的下一时点(下一年或下一月)投入等额初始投资(建设期初始投资);计提维简费的矿山,采矿系统开拓工程资金以更新性质的维简费方式计入经营成本。 10.12流动资金:采用扩大指标法或分项估算,并在矿山生产期按生产负荷分段投入。 10.13相关税费。 10.13.1增值税,按一般纳税人适用税率计算。 10.13.2营业税金及附加,包括城市维护建设税、教育费附加、地方教育附加、资源税等,根据国家和省(自治区、直辖市)财政、税务主管部门发布的有关标准进行计算。 10.13.3企业所得税,以利润总额为基数,按企业所得税税率计算,不考虑亏损弥补及企业所得税减免、抵扣等税收优惠。 10.14折现率。参照《矿业权评估参数确定指导意见》相关方式确定。矿产资源主管部门另有规定的,从其规定。
|
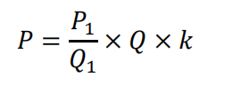
| 11矿业权出让收益评估值的确定 11.1采用基准价因素调整法、交易案例比较调整法、单位面积倍数法、资源价值比例法、勘查成本效用法时,评估计算结果为矿业权出让收益评估值。 11.2采用折现现金流量法、收入权益法时,矿业权出让收益评估值按以下方式处理。 (1)按照相应的评估方法和模型,估算评估计算年限内333以上类型全部资源储量的评估值,并计算其单位资源储量价值,其中推断的内蕴经济资源量333不做可信度系数调整。计算单位资源储量价值时,矿山服务年限超过30年的,评估计算的服务年限按30年计算。 (2)根据矿业权范围内全部评估利用资源储量(含预测的资源量)及地质风险调整系数,估算出资源储量对应的矿业权出让收益评估值。 式中:P—矿业权出让收益评估值 P1—估算评估计算年限内333以上类型全部资源储量的评估值 Q1—估算评估计算年限内的评估利用资源储量 Q—全部评估利用资源储量,含预测的资源量(334)? k—地质风险调整系数 (3)地质风险调整系数(k)取值应考虑矿种、矿床类型、矿床地质工作程度、矿床勘查类型以及矿业权范围内预测的资源量与全部资源储量的比例关系等因素综合确定,具体参照表11-2-1。 |
9增列矿种、增加资源储量矿业权出让收益的评估处理 探矿权采矿权增列矿种、增加资源储量,原则上应当独立评估,评估结果即为其矿业权出让收益评估值。不能独立评估的按下列方式计算。 (1)单一矿种增加资源储量的,新增矿业权出让收益按下列公式计算。
(2)增列矿种的矿业权出让收益按下列公式计算。 各矿种矿业权评估价值按其销售收入占总销售收入的比例分割计算,即:
以上两式中评估结果为对原矿种和增列矿种进行整体评估的结果。 用各组分选(冶)矿回收率及其销售收入所占比例作为权重综合确定。
| 12增列矿种、增加资源储量矿业权出让收益的评估处理 按照《矿业权出让收益征收管理暂行办法》的规定,增列、增加的部分比照协议出让方式,在采矿权阶段征收采矿权出让收益,矿业权出让收益按照评估价值、市场基准价就高确定。 探矿权采矿权增列矿种、增加资源储量,原则上应独立评估,评估结果即为其矿业权出让收益评估值。不能独立评估的按下列方式计算。 (1)单一矿种增加资源储量的,新增矿业权出让收益按下列公式计算。
(2)增列矿种的矿业权出让收益按下列公式计算。
以上两式中评估结果为对原矿种和增列矿种进行整体评估的结果。 |
10 矿业权出让收益(价款)退还评估处理 因国家政策调整,需要对已缴纳矿业权出让收益(价款)进行退还的,按下列情形分别处理。 (1)矿业权出让收益(价款)评估基准日,以资源储量为基础评估计算矿业权出让收益(价款)的,按下列公式计算应当退还的矿业权出让收益(价款)。 (2)其他情形,按下列公式计算应当退还的矿业权出让收益。
| 13矿业权出让收益(价款)退还评估处理 因国家政策调整,矿业权退出时,需要对已缴纳矿业权出让收益(价款)进行退还的,按下列情形分别处理。 (1)矿业权出让收益(价款)评估基准日,以资源储量为基础评估计算矿业权出让收益(价款)的,按下列公式计算应退还的矿业权出让收益(价款)。 (2)其他情形时,按下列公式计算应退还的矿业权出让收益。 |
11评估结论与使用有效期 11.1评估结论应当明确矿业权出让收益的评估值。 评估结论应包含矿业权出让收益的评估值、对应的资源储量。 11.2委托人对评估结论与矿业权出让收益市场基准价进行比较时,建议进行整体比较。 11.3评估结论使用有效期:评估结果公开的,自公开之日起有效期一年;评估结果不公开的,自评估基准日起有效期一年。 | 14评估结论与使用有效期 14.1评估结论应明确矿业权出让收益的评估值。 14.2评估结论使用有效期:评估结果公开的,自公开之日起有效期一年;评估结果不公开的,自评估基准日起有效期一年。
|
12评估报告编制出具与披露 12.1按照矿业权评估准则的相关要求,编制出具矿业权出让收益评估报告。 12.2矿业权出让收益评估报告名称的主题词一般包括:勘查项目名称或矿山名称、探矿权或采矿权、出让收益评估报告。 12.3矿业权出让收益评估报告应当对委托人、评估基准日、评估目的、评估对象与范围、评估依据、评估实施过程、评估方法选择、评估参数选取、评估结论、评估假设、报告使用限制和特别事项等内容进行完整、准确披露。 12.4矿业权出让收益评估报告应当披露以往矿业权有偿处置的有关情况。 12.5矿业权出让收益评估报告应当披露其他对评估结论使用有重大影响的事项。 | 15评估报告编制出具与披露 15.1按照矿业权评估准则的相关要求,编制出具矿业权出让收益评估报告。 15.2矿业权出让收益评估报告名称的主题词一般包括:勘查项目名称或矿山名称、探矿权或采矿权、出让收益评估报告。 15.3矿业权出让收益评估报告应对委托人、评估基准日、评估目的、评估对象与范围、评估依据、评估实施过程、评估方法选择、评估参数选取、评估结论、评估假设、报告使用限制和特别事项等内容进行完整、准确披露。 15.4矿业权出让收益评估报告应当披露矿产资源储量有偿处置的相关情况。 15.5矿业权出让收益评估报告应当披露其他对评估结论使用有重大影响的事项。 |
13附则 13.1按金额征收方式征收矿业权出让收益的矿种见附录。 13.2本指南未尽事项,均适用于矿业权评估准则相关规范内容。 13.3本指南自2023年5月1日起执行。 | 16附则 16.1本应用指南未尽事项,均适用于矿业权评估准则相关规范内容。 16.2本应用指南自2017年11月1日起执行。 |




(